



































Նոյեմբեր ամիսը լիարժեք աշխատեցինք ֆիզիկական միջավայրում: Ինչպես որ նախատեսել էինք նոյեմբերին 6-րդ , 9-րդ, 10-րդ և 11-րդ, 12-րդ դասարանցիների հետ իրականացրեցինք նախատեսված բոլոր դասընթացները և նախագծերը:
Նոյեմբեր ամսում մասնակցել եմ մաթեմատիկայի ֆլեշմոբի հոկտեմբեր ամսվա խնդիրների քննարկմանը և լուծմանը:
Այս ամիս մասնակցել եմ մաթեմատիկա դասավանդողների հավաքին,որը Գևորգ Հակոբյանի հետ կայացել է նոյեմբերի 1, 8, 15, 22, 29, :
Իրականացրել եմ նաև Սեբաստացու օրեր. կրթահամալիրի տոն-2021 նախագիծը։
Ելնելով Ուսումնական պարապմունքի կազմակերպման կարգից, հոկտեմբեր ամսում ուսումնասիրեցինք.
9-դասարան հանրահաշիվ
9-րդ դասրան երկրաչափություն
թեմաները:
10-րդ, 11-րդ , 12-րդ դասարանների հետ ընդհանուր առմամբ նույնպես աշխատեցինք լիարժեք:
6-րդ դասարանցիների հետ անցանք հետևյալ թեմաները՝
Մասնակիցներ՝ 9-րդ դասարանցիներ
ժամկետը՝ դեկտեմբերի 1-30
Հանրահաշիվ՝
Երկրաչափություն՝
ինչպես նաև Սեբաստացու օրեր. կրթահամալիրի տոն-2021 նախագիծը:
















Հոկտեմբերի ֆլեշմոբը մաթեմատիկայից խնդիրների լուծումներին կարող ենք ծանոթանալ նշված հղումով:
Հոկտեմբերի ֆլեշմոբի իմ մասնակցությունը ֆլեշմոբի կայացմանը, լուծումների տարբերակ տալու տեսքով էր:
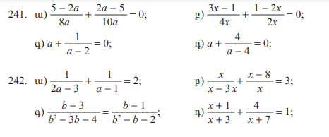
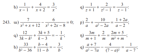
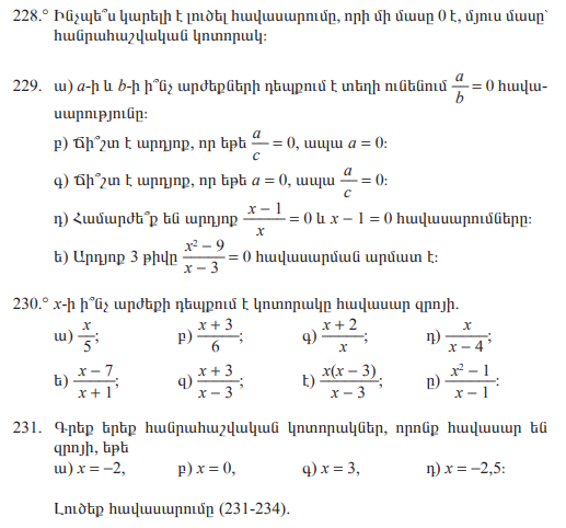
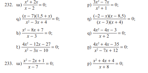
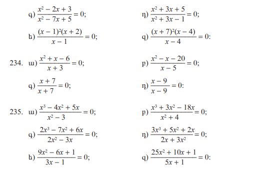
Ստորևէ ներկայացնում եմ հոկտեմբերի ֆլեշմոբի որոշ խնդիրների լուծման իմ տարբերակը:









«Մխիթար Սեբաստացի» կրթահամալիր
(Մխիթար Սեբաստացի) կրթահամալիր Ավագ դպրոց
<<Մխիթար Սեբաստացի>> կրթահամալիր