Նոյեմբերի 2-6. ֆլեշմոբյան շաբաթ
Ինչպես գիտենք, նոյեմբերի 2-7՝ 1-12-րդ դասարանցիների ուսումնական արձակուրդ է: Այս արձակուրդային շաբաթը մենք սովորողների հետ բացի կրթահամալիրի նախագծերից, հայտարարում ենք ֆլեշմոբյան շաբաթ:
Կրթահամալիրում իմ դասավանդման ժամանակահատվածում նկատել եմ, որ հատկապես ավագ դպրոցի աշակերտները շատ քիչ են մասնակցում ֆլեշմոբի խնդիրների լուծմանը՝ չնայած այն բանին, որ կան բազմաթիվ խելացի և ընդունակ աշակերտներ:
Անվանումը (վերնագիրը)`Ֆլեշմոբյան շաբաթ :
Նախատեսված է (նշել տարիքային խումբը, դասարանը)՝ 9-րդ, 10-րդ, 11-րդ, 12-րդ դասարանի սովորողներ:
Իրականացման տևողությունը ՝ Նոյեմբերի 2-6 :
Նպատակը ՝ պարզել, թե ինչպես են սովորողները լուծում ֆլեշմոբի խնդրիները և առաջադրանքները:
Խնդիրները ՝ հարցերի և խնդիրների միջոցով պարզել սովորողների գիտելիքները և խթանել ֆլեշմոբի մասնակցության թվի աճը:
Մասնակիցների նախնական կարողություններ ու հմտություններ՝ տրամաբանություն, տվյալ թեմաների դասապրոցեսին մասնակից լինելը:
Նախագծի ընթացքում նախատեսվում է (ակնկալիքներ, արդյունքներ)` զարգացնել աշակերտների տրամաբանությունը, մաթեմատիկական գիտելիքները և պատասխանատվությունը իրենց արած-չարածի համար:
Միջավայրը (նշել իրականացման վայրերը)՝ նոյեմբերի 2-6 աշակերտների գտնվելու ցանկացած միջավայր:
Անհրաժեշտ գործիքները՝ տետր, գրիչ, համակարգիչ, ինտերնետ:
Կիրառվող մեթոդները՝ տեղում գործածել ու սովորել կոնկրետ խնդիրների և առաջադրանքների վրա:
Նախագծի իրականացման ընթացքը (ընդհանուր նկարագրություն)՝
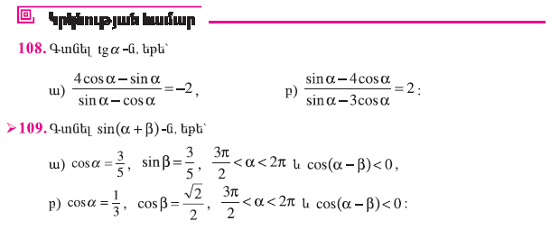
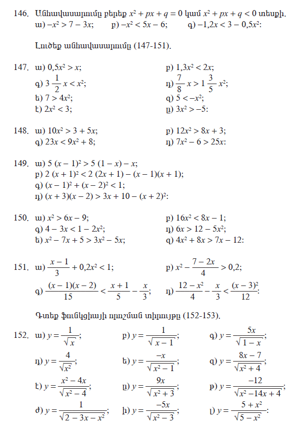
Նոյեմբերի 2-6 բոլոր աշակերտները որպես հանձնարարություն կփորձեն լուծել հոկտեմբերի ֆլեշմոբի առաջադրանքները: Իններորդ դասարանցիները կփորձեն Սովորողներն են առաջարկում , Առաջին մակարդակ, Երկրորդ մակարդակ, Երրորդ մակարդակ առաջադրանքները: Իսկ ավելի բարձր դասարանցիները նաև Չորրորդ մակարդակ առաջադրանքները:
Նշել նախագծի հնարավոր հեռանկարային զարգացումները.
Խնդիրների լուծումները սովորողները տեղադրում են իրենց բլոգներում: Որպես հեռահար նպատակ սովորողների մոտ հետաքրքրություն է առաջանում ֆլեշմոբի հանդեպ: Աշակերտների ամենամսյա մասնակիցների թվի աճ: Նոր աշակերտների ներգրավում ֆլեշմոբի խնդիրների լուծման պրոցեսում:
Նախագծի ամփոփում , գնահատում .
Նախագծի ամփոփումից հետո սովորողները իրենց աշխատանքները տեղադրում են իրենց բլոգներում:
- արդյունքներ . Արդյունքները ամփոփում են 9.1 , 9.3 , 9.5 խմբերի աշակերտների բլոգներում և 10, 11, 12 դասարանի աշակերտների բլոգներում:
- գնահատում . Լավագույն կատարված աշխատանքները կբարձրացնեն աշակերտների ամենամսյա գնահատականները:
Նոյեմբերի 9-30 աշխատանքները
Ելնելով կրթահամալիրի աշխատանքների կազմակերպման մասին հրամանից՝ նոյեմբերի 9-30-ը աշխատանքները կհրապարակվեն ավելի ուշ, երբ պարզ լինի հստակ օրացույցը և արձակուրդի տևողությունը:































































