



Վայրը՝ Պրոֆեսոր Հ. Կարապետյանի անվան
Երկրաբանական թանգարան
Ճամփորդության օրը՝ 10.11.22թ․ (12:40-15:00)
Նախապատրաստում՝
Նպատակը
Խնդիրներ
Ճամփորդության ընթացքը
Անհրաժեշտ իրեր
Երթուղի՝ Մայր դպրոցի բակ, Ծովակալ Իսակովի պողոտա, Մաշտոցի պողոտա, Մարշալ Բաղրամյանի պողոտա

Բուժարկղիկը՝ դպրոցի բուժսենյակից
Համակարգող՝
Տրանսպորտ՝ 60OC077
Վարորդ՝ Սահակյան Վարդան (099339009)
Գումարը՝ մեկ անձը 1 000 դրամ
Վճարող- ծնող
Թանգարանի մուտքը՝ Ավագ դպրոցի տրամադրած աբոնեմենտներով
Ակնկալվող արդյունք՝ ճամբարականները կներկայանան պատումներով, ֆոտոշարքով, տեսանյութերով, որոնք կհրապարակվեն ճամբարականների բլոգներում, ենթակայքում, կայքում։
Մասնակիցներ՝ Ավագ դպրոցի 9-րդ դասարանի սովորողներ
9, 10, 11, 12-րդ դասարանցիներ
Ժամկետը՝ շուրջտարյա
Մանակիցները տեղեկություն են գտնում հին Հնդկաստանի և հին Չինաստանի մաթեմատիկոսների մասին:
Դպրոցական դասագրքերից, այլ աղբյուրներից , համացանցից , հավաքում եմ հին խնդիրներ , մասնավորապես խնդիրներ որոնք ստեղծվել են հին Հնդկաստանում և հին Չինաստանում:
Խնդիրների ժողովածուի ստեղծում։

Նախագծի նպատակը՝
Միջին և ավագ դպրոցի սովորողները ծանոթանում են հին արևելքի մաթեմատիկայի և մաթեմատիկոսների հետ։

Խնդիրներ` հին չինական «Ինը գիրք մաթեմատիկայի մասին» գրքից:

Տեղեկանք: 1 ջանը (հին չինական չափման միավոր) մոտավորապես հավասար է 3,2 մետրի:
2. Վանդակում կան անհայտ թվով միրհավներ և նապաստակներ։ Հայտնի է, որ ամբողջ վանդակում կա 35 գլուխ և 94 ոտք։ Գտնել միրհավների և նապաստակների թիվը։
3. Լավ բերքի 3 խրձից, միջին բերքի 2 խրձից և վատ բերքի 1 խրձից միասին ստացվում է 39 դոու ցորեն։ Լավ բերքի 2 խրձից, միջին բերքի 3 խրձից և վատ բերքի 1 խրձից միասին ստացվում է 34 դոու ցորեն։ Լավ բերքի 1 խրձից, միջին բերքի 2 խրձից և վատ բերքի 3 խրձից միասին ստացվում է 26 դոու ցորեն։ Որքան ցորեն կստացվի լավ բերքի 1 խրձից, միջին բերքի 1 խրձից և վատ բերքի 1 խրձից:

Որպես արդյունք սովորողները ծանոթացան հին Չինական մի քանի խնդիրների, դրանց լուծման ընթացքին, և ամենակարևոր արդյունքը կարելի է առանձնացնել այն, որ սովորողները ճանաչեցին Սերգեյ Մերգելյանին, ծանոթացան նրա գործնեությանը և կյանքի:
Եվ այդ ամենի ընդացքում ավելի ամրապնդվեց սերը դեպի մաթեմատիկա և ճշգրիտ գիտություն:
Մերգելյանի թեորեմ, կոմպլեքս անալիզի հայտնի արդյունք՝ ապացուցված հայ մաթեմատիկոս Սերգեյ Մերգելյանի կողմից 1951 թվականին։ Այն պնդում է հետևյալը.
Դիցուք, K-ն C կոմպլեքս հարթության կոմպակտ ենթաբազմություն է այնպես, որ C∖K -ն կապակցված է, այսինքն՝ չենք կարող այն տրոհել երկու ոչ դատարկ ենթաբազմությունների այնպես, որ դրանցից յուրաքանչյուրը ընդհանուր կետ չունենա մյուս ենթաբազմության փակման հետ։ Այդ դեպքում՝ ցանկացած f : K →C անընդհատ ֆունկցիա, որի նեղացումը int(K)-ի վրա հոլոմորֆ է, կարելի է K-ի վրա հավասարաչափ մոտարկել բազմանդամներով։ Այստեղ int(K)-ն K ենթաբազմության ներքին տիրույթն է։
Մերգելյանի թեորեմը Վայերշտրասի մոտարկման թեորեմի և Ռունգեի թեորեմի վերջնական կատարելագործումն ու ընդհանրացումն է։ Այն տալիս է բազմանդամներով մոտարկման դասական խնդրի բարդ լուծումը։
Այն դեպքում, երբ C∖K -ն կապակցված չէ, նախնական մոտարկման խնդրում բազմանդամները պետք է փոխարինվեն ռացիոնալ ֆունկցիաներով։ Ռացիոնալ մոտարկման խնդրի լուծման կարևոր քայլը ևս առաջարկվել է Մերգելյանի կողմից 1952 թվականին։ Ռացիոնալ մոտարկման վերաբերյալ հետագա խորքային քայլերը հիմնականում արվել են Ա․ Գ․ Վիտուշկինի կողմից։
Վայերշտրասի և Ռունգեի թեորեմները առաջարկվել են 1885 թ.-ին, միչդեռ Մերգելյանի թեորեմը թվագրվում է 1951 թ.-ին։ Ժամանակային այս հսկայական տարբերությունը զարմանալի չէ, քանի որ Մերգելյանի թեորեմի ապացույցը հիմնված է հզոր մեթոդի վրա, որը ստեղծել է Մերգելյանը։ Վայերշտրասից և Ռունգեից հետո մի շարք մաթեմատիկոսներ (մասնավորապես ՈՒոլշը, Կելդիշը և Լավրենտևը) նույնպես աշխատել են նույն խնդրի վրա։ Մերգելյանի առաջարկած լուծումը կառուցողական է և մինչ օրս մնում է միակը իր տեսակի մեջ։
Հետևյալ սովորողները մասնակցել են վերը նշված նախագծին։
Հոկտեմբեր ամիսը լիարժեք աշխատեցինք ֆիզիկական միջավայրում: Ինչպես որ նախատեսել էինք հոկտեմբերին 9-րդ, 10-րդ, 11-րդ և 12-րդ դասարանցիների հետ իրականացրեցինք նախատեսված բոլոր դասընթացները և նախագծերը:
Կարևոր եմ համարում որպես նախասիրությունների բացահայտում, հոկտեմբերի 13-ին կազմակերպված Այցելություն Գիտության և Տեխնիկայի Թանգարան ճամփորդությունը, որի ամփոփումը՝ Այցելություն Գիտության և Տեխնիկայի Թանգարան․ Ամփոփում տեղադրված է իմ բլոգում:
Կազմել եմ մաթեմատիկական ֆլեշմոբի հոկտեմբեր ամսվա երկրորդ մակարդակի խնդիրները:
Հոկտեմբեր ամսում մասնակցել եմ մաթեմատիկայի ֆլեշմոբի, սեպտեմբեր ամսվա խնդիրների քննարկմանը և լուծմանը:
Մասնակցել եմ նաև Աշնանային 17-րդ մանկավարժական ճամբարին:
Այս ամիս մասնակցել եմ ուսուցիչների պարտադիր ատեստավորման բոլոր փուլերին:
Կարևոր եմ համարում նշել ուսուցիչների պարտադիր ատեստավորման հետազոտական աշխատանքի ավարտը և հրապարակումը:
Ելնելով Ուսումնական պարապմունքի կազմակերպման կարգից, սեպտեմբեր ամսում ուսումնասիրեցինք.
9-դասարան հանրահաշիվ
9-րդ դասրան երկրաչափություն
թեմաները:
10-րդ, 11-րդ , 12-րդ դասարանների հետ ընդհանուր առմամբ նույնպես աշխատեցինք լիարժեք:
Ինչպես, որ նախատեսել եինք << Այցելություն Գիտության և Տեխնիկայի Թանգարան>> ճամփորդությունը կազմակերպեցինք՝ 13.10.22թ․ (12:40-15:00)։

Ճամփորդության հիմնական նպատակն ու խնդիրները գրված է ստորև՝
Նպատակը
Խնդիրներ
Ճամփորդություն առջև դրված խնդիրը համարում եմ կատարված։
Ստորև ներկայացնում եմ որոշակի սովորողների ամփոփումներ, հրապարակված իրենց բլոգներում։
Ճամփորդությունը համարում եմ լիարժեք կայացած։
Հոկտեմբերի 24-28
Հոկտեմբերի 24
Սարալանջում՝
Հոկտեմբերի 25
Հոկտեմբերի 26
Հոկտեմբերի 27
Հոկտեմբերի 28


















«Մխիթար Սեբաստացի» կրթահամալիր
(Մխիթար Սեբաստացի) կրթահամալիր Ավագ դպրոց
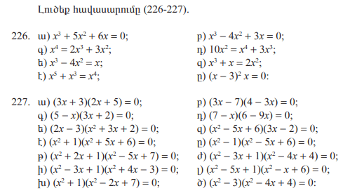
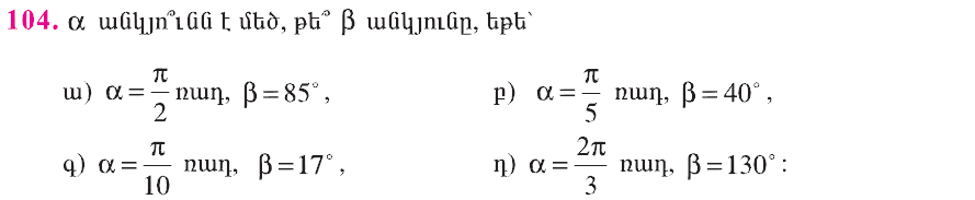
<<Մխիթար Սեբաստացի>> կրթահամալիր