Месяц: Май 2021
Ուսումնական չորրորդ շրջան
Մասնակիցները՝ 9.1 , 9.3 , 9.5 դասարաններ
Ժամկետը՝ 2 շաբաթ (մայիսի 31 — հունիսի 9 )
Ուղղությունները՝
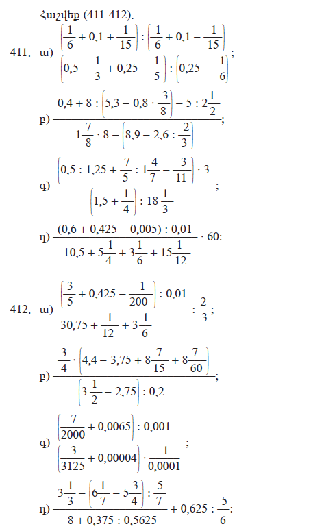
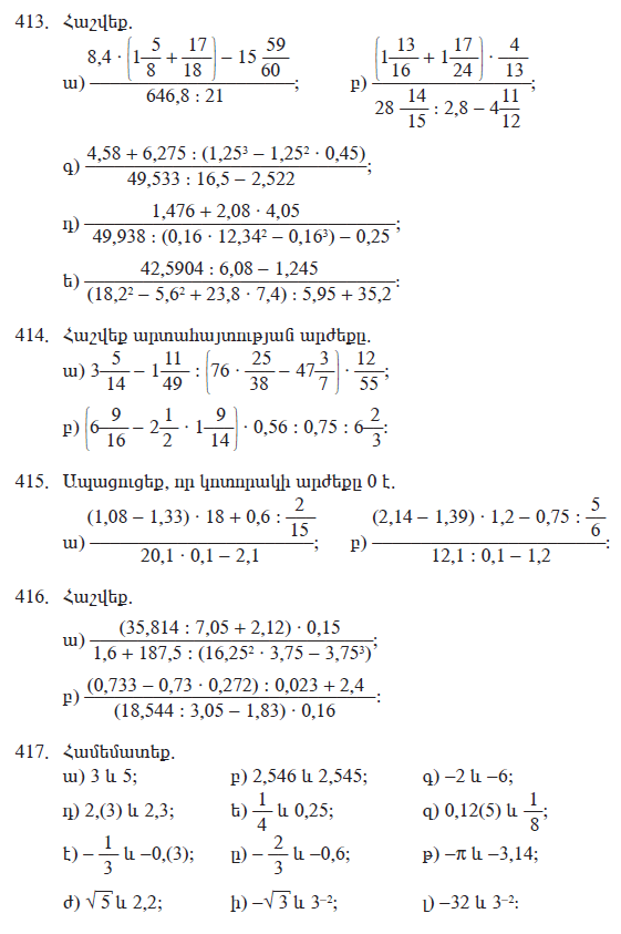
2020թ. ավարտական քննության թեստերի նմուշների լուծում. 9-րդ դասրան:
Խնդիրներ 7-9 դասարանի հանրահաշվի դասընթացի կրկնության համար:






2020-2021 ուսումնական տարվա ամփոփում
Ինչպես հայտնի է, այս ուսումնական տարին, բոլորիս կյանքում մեծ փորձությունների և դժվարությունների շրջան էր: Նախ՝ կորոնավիրուսի համաճարակի հետ կապված, սեպտեմբեր և հոկտեմբեր ամիսներին դասերը կազմակերպեցինք հեռավար, հետո ֆիզիկական միջավայրում շարունակեցինք, և կարծես մտնում եինք հունի մեջ, և բոլորիս գլխին փուլ եկավ նոր աղետ: Պատերազմ էր: Բայց պետք է շարունակել ապրել ու աշխատել, աշխատե՛լ էլ ավելի լավ: Եվ բոլորովս, թե՛ ուսուցիչներով, թե՛ աշակերտներով սկսեցինք աշխատել, և դուրս գալ այս ընկճված վիճակից:
Ընդհանուր առմամբ լիարժեք ուսումնասիրել ենք ուսումնական տարվա համար ծրագրով հատկացված բոլոր դասընթացները: 2020-2021 ուսումնական տարում ունեցել եմ շաբաթական 23 դասաժամ: Առավել ակտիվ էին 9-րդ դասարանցիները:
Իմ անձնական ձեռքբերումներից եմ համարում, այս ուսումնական տարում, մաթեմատիկայի ֆլեշմոբերի մասնակցությունը: Ասեմ, որ մասնակցել եմ բոլոր ամիսների համար նախատեսված ֆլեշմոբերի խնդիրների լուծմանը: Կազմել եմ՝
- Մայիսյան ֆլեշմոբի երրորդ մակարդակի (2020թ.) խնդիրները
- Հուլիսյան ֆլեշմոբի չորրորդ մակարդակի (2020թ.) խնդիրները
- Հոկտեմբերյան ֆլեշմոբի երրորդ մակարդակի խնդիրները
- Հունվարի ֆլեշմոբի չորրորդ մակարդակի խնդիրները
- Մարտի ֆլեշմոբի չորրորդ մակարդակի խնդիրները
- Մայիսի ֆլեշմոբի չորրորդ մակարդակի խնդիրները
- Հունիսի ֆլեշմոբի չորրորդ մակարդակի խնդիրները:
Յուրաքանչյուր ամսվա վերջում ամփոփել եմ տվյալ ամսվա աշխատանքները, նշել ձեռքբերումները և թերացումները: Յուրաքանչյուր ամսվա կատարած աշխատանքներին, նախագծերին և ամփոփմանը, կարելի է ծանոթանալ ստորև տեղադրված հղումներով.
- Սեպտեմբերյան աշխատանքների ամփոփում
- Հոկտեմբերի աշխատանքների ամփոփում
- Նոյեմբեր ամսվա աշխատանքների ամփոփում
- Դեկտեմբեր ամսվա աշխատանքների ամփոփում
- 2020-2021 թ. երկրորդ ուսումնական շրջանի ամփոփում
- Փետրվար ամսվա աշխատանքների ամփոփում
- Մարտ ամսվա աշխատանքների ամփոփում
- Ապրիլ ամսվա աշխատանքների ամփոփում
- Մայիս ամսվա աշխատանքների ամփոփում
- Չորրորդ ուսումնական շրջանի ամփոփում
Նշե՛մ նաև, որպես կարևորոր ձեռքբերում եմ համարում մասնակցությունս
- «Մուտք կրթահամալիր» ճամբարին
- «Ճամփորդություն դեպի աստղեր» . Բյուրականի աստղադիտարան ճամբորդությանը
- Սեպտեմբերի 1: Գիտելիքի օրը Արագածի հարավային գագաթին ճամբարդությանը:
- Ճամփորդություն դեպի Ձմեռային այգի
- Ճամփորդություն դեպի Արատես ամփոփում
Կարող եմ առանձնացնել Մանկավարժական ակումբի բոլոր հանդիպումների մասնակցությունս, որտեղ, ըստ ինձ բավականին կարևոր և հետաքրքիր հարցերի շուրջ ենք խոսում:
Չափազանց շատ եմ կարևորում մաթեմատիկա դասավանդողների հավաքին,որը Գևորգ Հակոբյանի հետ կայացել է յուրաքանչյուր երկուշաբթի օրը: Ի դեպ կարևոր եմ համարում այն, որ մասնակցել եմ բացառապես բոլոր հավաքներին, և առկա միջավայրում:
Մասնակցել եմ նաև Քվանտ ամսագրում հրապարակված խնդիրների լուծմանը, որն էլ իր հերթին հրապարակվել է մաթեմատիկա ամսագրում:
Որպես աշխատանք մենթորի հետ, գոհունակությունս և շնորհակալությունս եմ հայտնում Հերմինե Անտոնյանին՝ ցանկացած հարցով օգնելու և ընդառաջելու համար:
Մայիս ամսվա աշխատանքների ամփոփում
Մայիս ամիսը լիարժեք աշխատեցինք ֆիզիկական միջավայրում: Ինչպես որ նախատեսել էինք ապրիլին, 9-րդ, 10-րդ և 11-րդ դասարանցիների հետ իրականացրեցինք նախատեսված բոլոր դասընթացները և նախագծերը:
Մայիս ամսում մասնակցել եմ մաթեմատիկայի ֆլեշմոբի ապրիլ ամսվա խնդիրների քննարկմանը և լուծմանը:
Կազմել եմ մայիս ամսվա մաթեմատիկայի ֆլեշմոբի չորրորդ մակարդակի խնդիրները:
Մասնակցել եմ նաև Քվանտ ամսագրում հրապարակված խնդիրների լուծմանը, որն էլ իր հերթին կհրապարակվի մաթեմատիկա ամսագրում:
Այս ամիս մասնակցել եմ մաթեմատիկա դասավանդողների հավաքին,որը Գևորգ Հակոբյանի հետ կայացել է մայիսի 3, 10, 17, 24 :
Մայիսին մասնակցել եմ, մի շարք ակումբների քննարկումների և հանդիպումների: Կարող եմ առաձձնացնել Մանկավարժական ակումբի մասնակցությունս, որտեղ, ըստ ինձ բավականին կարևոր և հետաքրքիր հարցերի շուրջ ենք խոսում:
Ելնելով Ուսումնական պարապմունքի կազմակերպման կարգից, մայիս ամսում կուրսը ավարտելուց հետո, անցանք 2020թ. 9-րդ դասարանի քննությունների թեստերի քննարկումներին և լուծումներին:
Ընդհանուր կրկնություն և ինքնաստուգման աշխատանքներ:
Առանձնապես ակտիվ են եղել հետևյալ աշակերտները
